开工第一天,写篇小文,为2021开个头。各位有所不知,在紧张焦虑的2020年,各大平台一天也没闲着,就连最佛系最懒的快手、B站、微信团队…也在频繁更新迭代,众多新功能、新UI、新界面偷偷摸摸,低调上架。在老匡看来,这些看似波澜不惊、蜻蜓点水般的细微调整与变动,实则暗藏着2021年营销大变局,让人细思极恐、头皮发麻,不用急着内涵老匡,咱们摆事实讲道理。
1
观察1:算法全面取代作者!
前几年,互联网的“流量分配机制”比较稳定,也非常公平——谁有好内容,谁就有流量,流量归作者。以至于头版头条热搜频繁出现“平台间相互挖角抢作者”新闻,你回忆回忆。
在那个年代,平台与作者之间的博弈,作者占上风,因为得作者得用户。那时候,“先砸钱做内容搞流量再变现”思维也是成立的,大家心知肚明,流量是你的,跑不了,除非你撂挑子不干了。
作者利好的黄金时代,显然是被“算法”终结的,这事儿抖音最清楚。这个B赶上了中国14亿人硬件迭代(4G、智能手机普及下沉)与内容消费升级(信息从图文向短视频升级)两个时代风口,再用“算法推荐机制”给用户精准投喂爆款视频,将用户困在信息茧房,实现所谓沉浸式体验效果,导致:1、你看抖音停不下来。2、很多文章说抖音是“精神鸦片”。

个人认为“鸦片说”有些片面了,抖音不是精神鸦片,算法才是。我们以抖音为例,复盘一下“算法”是如何取代作者的。这里面有3个问题。
第一、算法是如何给用户匹配精准内容的?答案:给用户打标签。打标签的两个途径:1)用户注册账号时,平台让勾选感兴趣的领域,你回忆回忆。2)基于你平时浏览轨迹的大数据分析。
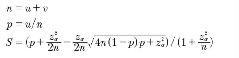
第二、抖音哪来的那么多好内容?前面说了,在国人内容消费升级的大背景下,总有大长腿、段子手漫无目的乱拍,这帮人就是原始用户与内容基础。至于如何挑选好内容,它们使用了“威尔逊得分排序算法”,就是下面这个东西。

通俗点,就是大家常说的“流量漏斗”,视频发出来,第一波推给200-500人,数据反馈好,再推给3000-5000人…如此反复,直到数据反馈不达标停止推荐。
它们永远从海量短视频里,挑选数据最好的爆款与热门,推到你面前。抖音所有的好内容,都是用户用每一个点赞、评论、转发,帮助筛选出来的,等于免费打工。当然,这又是另一个故事了。
第三、算法如何取代作者?前面说了,因为“算法推荐机制”更依赖“爆款视频”拖住用户,所以只有“爆款”才有流量,谁拍的、作者是谁根本不重要,你不拍,永远有“爆款视频的惊人数据”作为“成功案例”摆在平台上,载入培训大师们的招商PPT里,吸引创业者们飞蛾扑火,砸锅卖铁入局豪赌。
说这些,并非针对抖音,而是针对算法,因为算法取代了作者。
2
观察2:私域流量正在全线崩溃?
算法全面取代作者,“全面”这个词很重要,在传统认知里,淘宝、头条、抖音、外部网站等是公域流量,快手、B站、微信生态是私域流量,但是注意,2020年,这三个硕果仅存的私域流量大平台似乎集体选择了向“算法推荐”妥协(情商高的称之为尝试),就连张小龙最引以为傲并坚持多年的“社交推荐”也不例外。下面分别是快手、B站新内测的竖版短视频产品、以及微信视频号的首页布局,各位细品。

结论:快手从之前的豆腐块首页布局,视频号从最初的上下拉动,B站从无到有…3大平台的短视频产品无一例外复刻了抖音的全屏尺寸。而看似小小的改动,背后暗藏精心设计的运作逻辑。这么一改,直接消灭了用户在账号(作者)之间的选择与跳转,让他们深度沉浸在内容之中,易于平台投放精准爆款视频喂食,走了抖音的老路——爆款视频才是王道,“作者是谁”变得不再重要!
说到这里,有没有细思极恐?若当下互联网最大头的“短视频流量”在快手、B站、微信生态里的分配机制与抖音一样用算法推荐,完全无视作者,那“私域流量”还存在吗?即便存在,现有的局面是否会被改写呢?这才是老匡的担忧。
3
建议:囤积私域流量刻不容缓!
当然了,老匡希望上述担忧永远不要发生,但是,劝各位最好提前布局,未雨绸缪。未来,即便所有内容平台全部采用“算法推荐”分配流量(包括直播,直播数据好往更大的流量池推,与短视频一个道理),即便个人号朋友圈与公众号的活跃度被视频号掠夺,至少用户躺在个人号里,咱们还有触达的机会。否则肯定是被动挨打:1、一边不停的换平台,继续砸锅卖铁做内容;2、用户永远在平台的爆款视频之间流动,辛苦创作的我们,根本无法与他们接触…作者只能被平台白嫖内容,毫无办法。
事实上,在老匡看来,很多内容创作者或有引流需求的商家似乎已经进退两难,骑虎难下:A、选择继续做内容,也未必有结果,因为都是博“内容能爆”的概率,而这个概率,没有任何规律,让培训大师们知道规律了,平台还怎么卖“内容付费广告”赚钱?你品品。B、直接去他妈的不干了,你也没什么好出路,因为无路可走,几乎全网都在用“算法推荐”分配流量…所以老匡在群里说:“算法摧毁了整个移动互联网”。
最后,有无解决方案呢?还是有的,答案就在下面这张图里,各位细看,慢品。对于新闻来说,字越少,事越大;对于营销来说,字越少,理解越深刻…认同的朋友转发一下?

以上就是为大家介绍的老匡:2021,“营销与流量”或有大变局!,希望对大家有所帮助,现在互联网已经进入到了短视频时代,如果需要抖音广告开户,抖音直播间付费推广开户或者托管的,都可以找我们咨询,现在开户优惠多多,还有返点,添加微信了解:veteran88