这一次,我们通过小程序+微信生态,成功在6天为产品导入8000+精准用户。运营成本、人力成本为0。产品化的机制让新用户不断涌入,我们先秀秀成绩,上线不到6天拉新如下
用户一天UV和7天uv增长趋势数据,这一次,我们通过半个月的打磨,成功的坐到了日增长1000+平均dau拉新200+的案例。同样的,我们会开始复盘,认为这些复盘都是可以再现、可以复用的。
每次在复盘案例拆解前,我们都会反复叙述:裂变的本质是利用人性的锚点。
但可能因裂变的用户画像和对应的产品形态不一样,挑起锚点的策略也是不同的。比如通过建群宝、任务包的方式,产品的形态是海报。抓住海报的文案、设计、传播路径是重点考虑的3个方面。你可以看到,不管是采取任何的工具。裂变的本质是要抓住你的用户通点,通过用户能够接受的利益锚点推动。奖流量从1阶到2阶逐渐传播更远......
裂变本身是存在社交关系中,而这样的社交关系需要良好的产品形态承载。在市面上你看到所有的裂变案例都是在微信生态完成的,你没有看到在QQ上有这样的案例、淘宝、或抖音这样的传播方式。
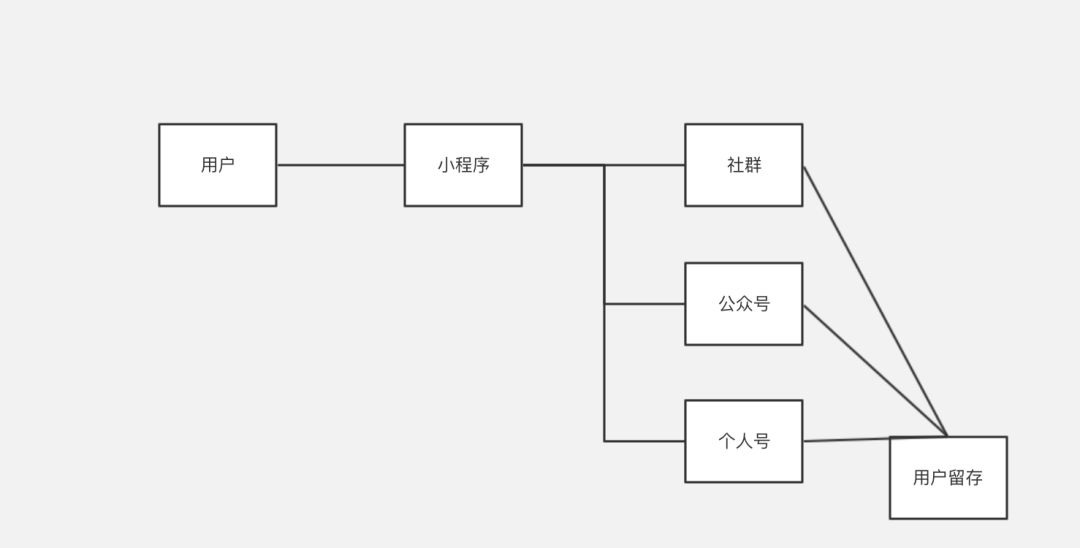
微信生态中的朋友圈、个人号、公众号成了3个流量传播衔接点
产品账户支持微信账户,并且账户体系设计上要保证一个手机+一个微信号成为一个独立账户。用户进入调用接口获取手机号、头像信息等接口


我遇到过许多小程序裂变的案例,火了后却逃脱不了被封杀的命运。常见的集子解锁、测试类、红包传播让用户拉取新用户。小程序面临的是如何避免封、以及商业变现的问题。
在设计PMTalk产品经理社区的小程序时候,我们就认定不能为了做裂变而裂变的小程序,考虑社区用户画像与特色功能,所以我们开始拆解小程序可以提供的价值是什么?如下是我们最终头脑风暴给的结构
围绕着刚开始说的小程序微信生态的无感知、用完即走、账户体系等优势,我们将小程序定位为内容查看的平台。是因为在移动端输入内容的成本显然是短、高频的,而PC端是长、低频的。确定平台的场景不同后,我们开始考虑小程序如何加入裂变因子让产品走上增长黑客闭环。
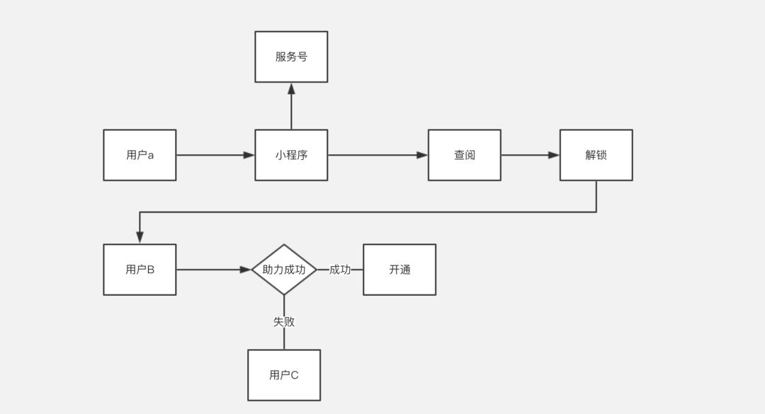
如上是用户进入小程序后的传播。通过解锁的方式将用户扩大,实际上本质你可以看到是把任务包放在了产品中,逃脱了服务号、订阅号平台。让产品自身可以通过对应规则让用户进出。小程序给的价值一定要满足用户分享门槛。举个例子,价值3元的苹果,你会为了免费获取让10个人来这里采购吗?超过了用户分享门槛,反而得不到裂变增长同样的,针对价值与裂变传播的平衡是在我们前几次增长后的经验。所以这次我们涉及的是2个人助理即可。通常裂变传播要保持超过15级以上的传播,阶梯传播不要超过3人。

小程序火了一段时间,但又成了资本不敢投入的领域。因为你永远不知道你的小程序会以什么理由被封杀。是被对手恶搞、还是腾讯?就像下面这个趣图
我集合出一些我们在这次案例中,我们是如何调整去保证后续不被封的经验。如下三条小程序价值取向目前小程序的红利是存在的,在微信生态内部他们也有日活的KPI。只要你的小程序提供的不是黑产、灰色产业、恶意欺诈用户的,你围绕正常的价值取向去做诱导分享,即使被封。重新提交代码审核、提交申诉基本就可以解封。让用户二选一我们在上线PMTalk小程序后,由于我们是采取的强制分享策略。类似:“你不xxx做,就不能xxx。“都属于强制分享。果然我们小程序上线后就被封了。后续我们重新提交代码前做了改造,增加了可以选择关注服务号领取会员,增加了一个入口后就没有被封了。类似这样的列子还有下面的,通过加入抽奖与分享增加次数。
上面这个例子表示每天可以抽奖3次。但当用户使用完免费次数后需要继续解锁才能邀请用户。所以用户在完成凑字可以通过每天自己抽、也可以让好友帮忙黑名单机制绝大部分举报小程序违规的都是行业同行或竞对。你在后台查看违规反馈可以看到基本上传的违规证据都是非常完整的,一看就是专业作案有备案而来。
因此在小程序加入**截屏机制,可以监测用户来截相关页面,正常的用户是非常少截图的,要么是从业者想过来学习,要么是竞对。通过把截图频繁的用户拉近黑名单,小程序进入无法访问、或则进一个假页面。黑名单用户只能进入固定的几个页面。这里就涉及到:黑名单名单用户列表控制权限产品矩阵这个方法本质就是:舍小家保大家。通过给自己的主流产品引流,首先检测尝试自己的次级产品会不会被封,去裂变传播完成后再通过关联路径给自己的产品引流拉新。
但回到开头说的,为了裂变而裂变的小程序是非常难活下去的。只有产品提供优质内容的体验和增加解决目标用户需求的才可以走的更远更久。上线后用户的反馈不仅要注意自己产品迭代,还要及时注意上线的排期。保证可以快速再次赋能裂变传播,避免竞对手或同类产品出现让用户疲乏
比如针对海报分享,因小程序码太小与引导文案不够吸引。可以快速提出,不用进入需求排期直接优先做。同时加入公众号引流渠道,之前引流到服务号,现在可以引流到社群。增加流量分发
本次小程序增长后,我们的日拉新截止本次复盘保持在日500+用户。小程序带来的进准用户再次进入到产品。产品、微信生态、商业转化成了闭环,未来我们会持续输出增长案例与复盘....
-END-
以上就是为大家介绍的增长复盘|我们在小程序实现裂变!日拉新1000+,希望对大家有所帮助,现在互联网已经进入到了短视频时代,如果需要抖音广告开户,抖音直播间付费推广开户或者托管的,都可以找我们咨询,现在开户优惠多多,还有返点,添加微信了解:veteran88